
?
蘇州貨架的穿梭車貨架擁有多種功能定制,是一類高存儲率、高空間利用率的重型貨架,具體有8種標準功能以及多種可定制功能。
標準功能
存儲:用叉車將穿梭車放置到運行巷道前。之后,操作員將托盤定位在導軌上。利用遙控器上的“存儲”功能按鈕,將托盤升起來,移動到巷道上的初始自由存儲位置,隨后進行存儲并返回初始位置。
取貨:用叉車將穿梭車放置到運行巷道前端。遙控器選擇“取回”功能按鈕。沿貨架移動至第一個托盤,然后舉起托盤返回至初始位置,操作人員可輕松取出托盤,如果操作員未取出托盤,將不會進行下一步任務(除非選擇“PLUS”功能)。
連續取貨:一旦操作員按下“連續取貨”按鈕,即激活了一系列取回任務,直至任務結束都無需再次按下該按鈕。改功能適用于同一巷道的連續取貨操作。
手動設置托盤間距20至150mm:如托盤碼貨超出,可通過遙控器獨立管理其間距。
AUTOSAT的手動管理:裝置的移動由手動操作遙控器的方式進行控制。每個操作步驟均由不同指令進行控制,例如升起、移動托盤、存儲等。
遙控器可同時控制4臺AUTOSAT
任務計數
維護通知
可選功能
托盤理貨“壓實推送”模式
可自動地重新安置巷道,壓實所有托盤,占滿剩余空間。(用于先進先出模式的功能—從入庫端壓實)
托盤理貨“壓實牽引”模式
可自動地重新安置通道,壓實所有托盤,占滿剩余空間。(用于先進先出模式的功能—從出貨端壓實)
AUTOSAT在同一通道中防碰撞功能
如同一巷道中使用了不止一臺該裝置,穿梭車需安裝該裝置,以避免碰撞。(用于先進先出模式)
庫存管理:托盤盤點
可運用上部傳感器統計出一個或多個貨架上的托盤數量。根據系統操作,倉庫內或某巷道內的托盤總數可顯示與遙控器顯示屏上。該功能適用于中、長尺寸的巷道。
多個托盤管理:管理同一巷道內具有不同深度尺寸的托盤(先進先出或后進先出)
該功能保證倉庫運轉流暢。非常適用于相同巷道中不同深度尺寸的托盤。
持續取貨“PLUS”
可進行快速取回操作。同持續取回功能類似,區別在于該裝置的每個任務即使沒有取回托盤,仍會持續運行。如未采集首個可用托盤,則該裝置會繼續處理第二個并繼續等待。待操作人員采集到第一個托盤之際,該裝置將第二個托盤存儲于首個位置,并處理下一個任務。該操作人員可以總是2個托盤可以取出。
持續存儲
一旦操作人員按下“持續存儲”按鈕,既激活了一系列存儲任務,直至任務結束都無需再次按下該按鈕。該功能適用于同一巷道的連續存儲操作。
托盤之間的間距可達240mm
托盤之間的間距可達350mm
應客戶要求提供特殊功能
診斷軟件
如出現故障,遙控器上會向操作人員顯示錯誤代碼。
?
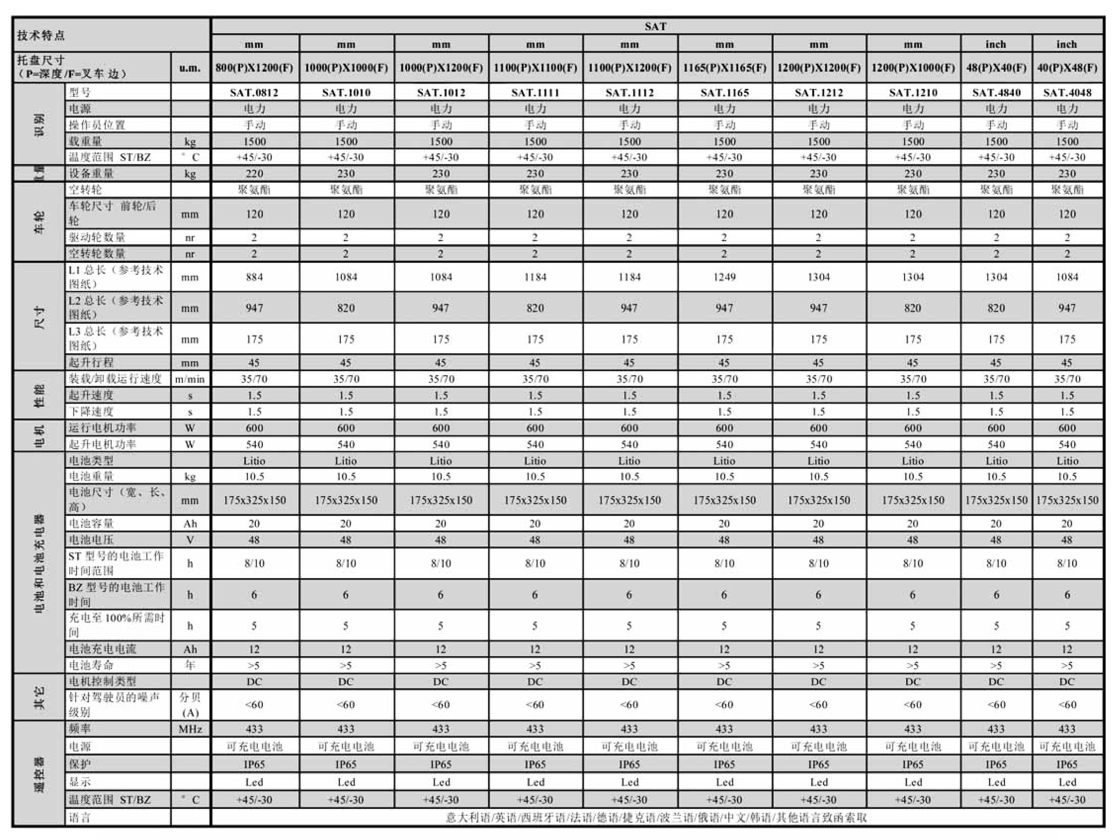
穿梭車參數



相關閱讀:穿梭車貨架在物流倉儲中最大的優勢
? ? ? ? ? ? ? ?五大優勢使穿梭車貨架系統大大區別于傳統貨架